�Lan, Jingbo -College of Chemistry <#webadvjs#>

?????????

Faculty

Lan, Jingbo     


Research direction: Synthetic methodology based upon carbon−carbon and carbon−heteroatom bond formation and the corresponding applications in the expeditious syntheses of π-conjugated organic functional materials, organic optoelectronic devices, and supramolecular chemistry.

Contact information:

Email:


Education:

Ph.D. Chemistry, Sichuan University, June 2004.

Academic Experience�

Sichuan University, 2011-, Professor of Chemistry

Sichuan University, 2006-2011, Associate Professor of Chemistry 


Publications:

1�Zhishuo Wang, Linfeng Jiang, Jinwen Ji, Fulin Zhou, Jingbo Lan,* Jingsong You.* Build-up of cationic azahelicenes via regioselective three-component annulation using in situ activation strategy. Angew. Chem. Int. Ed. 2020, DOI: 10.1002/anie.202010051.

                                                             

2)Lipeng Yan, Jingbo Lan,* Hu Cheng, Yihang Li, Mangang Zhang, Di Wu, Jingsong You. * Regioselective addition/annulation of ferrocenyl thioamides with 1,3-diynes via a sulfur-transfer rearrangement to construct extended pconjugated ferrocenes with luminescent properties. Chem. Sci. 2020, 11, 11030�11036.

 

 

3)Anping Luo, Min Zhang, Zhangyi Fu, Jingbo Lan,* Di Wu and Jingsong You.* Copper-catalyzed remote C–H arylation of polycyclic aromatic hydrocarbons (PAHs). Beilstein J. Org. Chem. 2020, 16, 530�536.

4) Menglei Wang, Min Zhang, Yuanyuan Luo, Zheng Liu, Chengyong Yang, Jingbo Lan,* Di Wu, and Jingsong You.* Pd(II)-catalyzed regioselective multiple C−H arylations of 1‑naphthamides with cyclic diaryliodonium salts: one-step access to [4]- and [5]carbohelicenes. Org. Lett. 2020, 22, 135�139.

5) Jian Li, Junjie Liu, Jiangliang Yin, Yuming Zhang, Weiguo Han, Jingbo Lan,* Di Wu, Zhengyang Bin, Jingsong You.* Double ortho-C−H activation/annulation of benzamides with aryl alkynes: A route to double-helical polycyclic heteroaromatics. J. Org. Chem. 2019, 84, 15697�15705.

                                                                                             

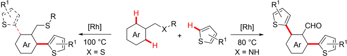
6) Shiping Yang, Rui Cheng, Tingxing Zhao, Anping Luo, Jingbo   Lan,* and Jingsong You.* Rhodium-Catalyzed C−H/C−H Cross Coupling of Benzylthioethers   or Benzylamines with Thiophenes Enabled by Flexible Directing Groups. Org.   Lett. 2019, 21, 5086âˆ�5090.

7) Denan Sun, Jiping Du, Hao Fang, Jingbo Lan,* Di Wu,   Jingsong You.* Transient directing ligand- and solvent-controlled C−H/C−H cross-coupling/quaternization   cyclization/dequaternization of benzaldehydes with thiophenes. Chem.   Commun. 2019, 55, 7518-7521.

8) Mangang Zhang, Rui Cheng, Jingbo Lan,* Huaxing Zhang, Lipeng   Yan, Xingwen Pu, Zhenmei Huang, Di Wu, Jingsong You.* Oxidative C−H/C−H   cross-coupling of [1,2,4]triazolo[1,5-a]pyrimidines with indoles and   pyrroles: discovering excited-state intramolecular proton transfer (ESIPT)   fluorophores. Org. Lett. 2019, 21, 4058âˆ�4062.

9) Luoqiang Zhang, Yanbing Wang, Yang Shi, Yimin Wu, Jingbo Lan,*   Weixin Ma, Jingsong You.* Highly regio- and chemoselective oxidative C−H/C−H   cross-couplings of anilines and phenols enabled by a co-oxidant-free   Rh(I)/Zn(NTf2)2/air catalytic system, ACS Catal.   2019, 9, 5358âˆ�5364.

10) Zheng Liu, Yonghua Xian, Jingbo Lan,* Yuanyuan Luo, Weixin   Ma, Jingsong You.* Fusion of aromatic ring to azoarenes:   one-pot access to 5,6-phenanthroliniums for mitochondria-targeted far-red/NIR   fluorescent probes. Org. Lett. 2019, 21, 1037-1041.

11) Xingwen Pu, Mangang Zhang, Jingbo Lan*, Shuyou Chen, Zheng   Liu, Wenbo Liang, Yudong Yang, Min Zhang, Jingsong You.* Tandem Rh(III)-catalyzed   C−H heteroarylation of indolyl ketones and Cu(II)-promoted intramolecular cyclization:   one-pot access to blue-emitting phenanthrone-type polyheterocycles. Org.   Lett. 2019, 21, 1139-1143.

12) Yang Shi, Luoqiang Zhang, Jingbo Lan,* Min Zhang, Fulin Zhou,   Wenlong Wei, Jingsong You.* Oxidative C–H/C–H cross-coupling reactions between   N-acylanilines and benzamides enabled by a Cp*-free RhCl3/TFA   catalytic system. Angew. Chem. Int. Ed., 2018, 57, 9108â€�9112.

13) Bijin Li, Linsen Zhou, Hu Cheng, Quan Huang, Jingbo Lan,*   Liang Zhou,* Jingsong You.* Dual-emissive 2-(20-hydroxyphenyl)oxazoles for high   performance organic electroluminescent devices: discovery of a new equilibrium   of excited state intramolecular proton transfer with a reverse intersystem   crossing process. Chem. Sci. 2018, 9, 1213â€�1220.

14) Huaxing Zhang, Xingyu Chen, Jingbo Lan,* Yanhong Liu, Fulin   Zhou, Di Wu,* Jingsong You.* Silver-mediated direct C–H amination of BODIPYs   for screening endoplasmic reticulum-targeting reagents. Chem. Commun.,   2018, 54, 3219â€�3222.

15) Xiuguang Yang, Linfeng Jiang, Mufan Yang, Huaxing Zhang, Jingbo   Lan,* Fulin Zhou, Xingyu Chen, Di Wu,* Jingsong You. Pd-catalyzed direct C−H   functionalization/annulation of BODIPYs with alkynes to access unsymmetrical benzo[b]‑fused   BODIPYs: discovery of lysosome-targeted turn-on fluorescent probes. J.   Org. Chem., 2018, 83, 9538âˆ�9546.

16) Wen Wang, Xiaoyu Li, Jingbo Lan,* Di Wu, Ruilin Wang,*   Jingsong You. Construction of 3,7-dithienyl phenothiazine-based organic dyes   via multistep direct C−H arylation reactions. J. Org. Chem., 2018,   83, 8114âˆ�8126.

17) Yan Wang, Jingbo Lan.* Oxygen as an oxidant in rhodium(III)   catalyzed oxidative C–H/C–H cross-coupling between indoles and oxazoles. Sci   China Chem, 2018, 61, 200â€�205.

18) Danni Zhou, Chunxia Wang, Mingliang Li, Zheng Long, Jingbo Lan.*   Palladium-catalyzed 2-pyridylmethyl-directed β-C(sp3)–H activation and   cyclization of aliphatic amides with gem-dibromoolefins: a rapid access to   γ-lactams. Chin. Chem. Lett., 2018, 29, 191â€�193.

19) Bijin Li, Guoqiang Tang, Linsen Zhou, Di Wu, Jingbo Lan,*   Liang Zhou,* Zhiyun Lu, Jingsong You.* Unexpected sole enol-form emission of 2-(2'-hydroxyphenyl)oxazoles   for highly efficient deep-blue-emitting organic electroluminescent devices. Adv.   Funct. Mater., 2017, 27, 1605245.

20) Guoqiang Tang, Bijin Li, Jingbo Lan,* Jingsong You.* An   effective strategy to construct highly efficient deep-blue organic   light-emitting field-effect transistors. Adv. Mater. Interfaces, 2017,   1700453.

21) Xiaoyu Li, Shiqing Li, Ge Gao, Di Wu, Jingbo Lan,* Ruilin   Wang,* Jingsong You.* High-performance ruthenium sensitizers containing   imidazolium counterions for efficient dye sensitization in water. ChemSusChem,   2017, 10, 2914â€�2921.

22) Jie Wu, Yangyang Cheng, Jingbo Lan*, Di Wu, Shengyou Qian,   Lipeng Yan, Zhen He, Xiaoyu Li, Kai Wang, Bo Zou*, Jingsong You.* Molecular   engineering of mechanochromic materials by programmed C–H arylation: making a   counterpoint in the chromism trend. J. Am. Chem Soc., 2016, 138,   12803â€�12812.

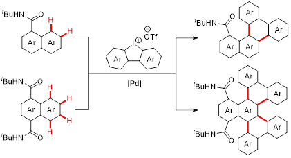
23) Denan Sun, Bijin Li, Jingbo Lan,* Quan Huang and Jingsong   You.* Chelation-assisted Pd-catalysed ortho-selective oxidative C–H/C–H cross-coupling   of aromatic carboxylic acids with arenes and intramolecular Friedel–Crafts   acylation: one-pot formation of fluorenones, Chem. Commun., 2016,   52, 3635âˆ�3638.

24) Bijin Li, Jingbo Lan,* Di Wu, Jingsong You.* Rhodium(III)-catalyzed   ortho-heteroarylation of phenols through internal oxidative C-H   activation: rapid screening of single-molecular white-light-emitting   materials, Angew. Chem. Int. Ed., 2015, 54, 14008âˆ�14012.

25) Xurong Qin, Xiaoyu Li, Quan Huang, Hu Liu, Di   Wu, Qiang Guo, Jingbo Lan,* Ruilin Wang, Jingsong You.* Rhodium(III)-catalyzed   ortho C–H   heteroarylation of (hetero)aromatic carboxylic acids: a rapid and concise   access to Ï€-conjugated poly-heterocycles. Angew. Chem. Int. Ed., 2015, 54, 7167âˆ�7170.

26) Xurong Qin, Denan Sun, Qiulin You, Yangyang Cheng, Jingbo Lan,*   Jingsong You.* Rh(III)-Catalyzed decarboxylative ortho-heteroarylation of aromatic   carboxylic acids by using the carboxylic acid as a traceless directing group.   Org. Lett., 2015, 17, 1762âˆ�1765.

27) Xingyan Liu, Xiaoyu Li, Hu Liu, Qiang Guo, Jingbo Lan,* Ruilin   Wang, Jingsong You.* Aldehyde as a traceless directing group for Rh(III)-catalyzed   C–H activation: a facile access to diverse indolo[1,2-a]quinolines, Org.   Lett., 2015, 17, 2936â€�2939.

28) Jing Wang, Dekun Qin, Jingbo Lan,* Yangyang Cheng, Shuai Zhang,   Qiang Guo, Jie Wu, Di Wu, Jingsong You.* Rh-Catalysed direct cyclization of   1,4-naphthoquinone and 9,10-phenanthraquinone with alkyne: facile access to   1,8-dioxapyrenes and 1,12-dioxaperylenes as orange and red-emitting   luminophores. Chem. Commun., 2015, 51, 6337â€�6339.

29) Zhijie She, Yangyang Cheng, Luoqiang Zhang, Xiaoyu Li, Di Wu, Qiang   Guo, Jingbo Lan,* Ruilin Wang,* Jingsong You.* Novel ruthenium sensitizers   with a phenothiazine conjugated bipyridyl ligand for high-efficiency   dye-sensitized solar cells, ACS Appl. Mater. Interfaces, 2015, 7,   27831â€�27837.

30) Jie Wu, Qiulin You, Jingbo Lan,* Qiang Guo, Xiaoyu Li, Ying   Xue, Jingsong You.* Cu-Catalysed direct C–H (hetero)arylation of [1,2,4]triazolo[4,3-a]pyridine   to construct deep-blue-emitting luminophores. Org. Biomol. Chem., 2015,   13, 5372â€�5375.

31) Hu Liu, Xingrong Liao, Xiaoyu Li, Di Wu, Qiang Guo, Jie Wu, Shengyou   Qian, Jingbo Lan,* Ruilin Wang,* Jingsong You.* Molecular design of   new organic sensitizers based on thieno[1,4]benzothiazine for dye-sensitized   solar cells. RSC Adv., 2015, 5, 56865â€�56871.

32) Jie Wu, Jingbo Lan,* Siyuan Guo, Jingsong You.*   Pd-Catalyzed C−H carbonylation of (hetero)arenes with formates and intramolecular   dehydrogenative coupling: a shortcut to indolo[3,2-c]coumarins. Org. Lett.,   2014, 16, 5862âˆ�5865.

33) Quan Huang, Xurong Qin, Bijin Li, Jingbo Lan,* Qiang Guo,   Jingsong You.* Cu-catalysed oxidative C–H/C–H coupling polymerisation of benzodiimidazoles:   an efficient approach to regioregular polybenzodiimidazoles for blue-emitting   materials. Chem. Commun. 2014, 50, 13739â€�13741.

34) Ningjie Wu, Jingbo Lan,* Lipeng Yan, Jingsong You.* A sensitive colorimetric and fluorescent sensor based on imidazolium-functionalized squaraines for the detection of GTP   and alkaline phosphatase in aqueous solution.   Chem. Commun. 2014, 50, 4438â€�4441.

35) Xurong Qin, Hu Liu, Dekun Qin, Qian Wu, Jingsong You,* Dongbing   Zhao, Qiang Guo, Xiaolei Huang, Jingbo Lan,* Chelation-assisted   Rh(III)-catalyzed C2-selective oxidative C–H/C–H cross-coupling of   indoles/pyrroles with heteroarenes, Chem. Sci. 2013, 4,   1964â€�1969.

36) Xuefeng Cong, Jingsong You,* Ge Gao, Jingbo Lan.*   2-Pyridylmethyl ether: a readily removable and efficient directing group for amino   acid ligand accelerated ortho-C–H olefination of phenols. Chem.   Commun., 2013, 49, 662â€�664.

37) Lipeng Yan, Dongbing Zhao, Jingbo Lan,* Yangyang Cheng, Qiang   Guo, Xiaoyu Li, Ningjie Wu, Jingsong You.* Palladium-catalyzed tandem N–H/C–H   arylation: regioselective synthesis of N-heterocycle-fused phenanthridines   as versatile blue-emitting luminophores. Org. Biomol. Chem., 2013,   11, 7966â€�7977.

38) Xiaoyu Li, Bijin Li, Jingsong You, Jingbo Lan.* Copper-catalysed   oxidative C–H/N–H cross-coupling between formamides and amides through   chelation-assisted N–H activation. Org. Biomol. Chem., 2013, 11, 1925â€�1928.

39) Bijin Li, Xurong Qin, Jingsong You,* Xuefeng Cong, Jingbo Lan.*   Direct arylation of phenanthroline derivatives via oxidative C–H/C–H   cross-coupling: synthesis and discovery of excellent ligands. Org. Biomol.   Chem., 2013, 11 (8), 1290â€�1293.

40) Bo Liu, Zhi Wang, Ningjie Wu, Mingliang Li, Jingsong You,* Jingbo   Lan,* Discovery of full-color-tunable fluorescent core framework via   direct C–H (hetero)arylation of N-heterocycles. Chem. Eur. J., 2012,   18, 1599â€�1603.

41) Xurong Qin, Boya Feng, Jiaxing Dong, Xiaoyu Li, Ying Xue, Jingbo   Lan,* Jingsong You,* Copper(II)-catalyzed   dehydrogenative cross-coupling between two azoles. J. Org. Chem. 2012,   77, 7677âˆ�7683.

42) Rongqi Zhou, Bijin Li, Ningjie Wu, Ge Gao, Jingsong You, Jingbo   Lan,* Cyclen-functionalized perylenebisimides as sensitive and selective fluorescent   sensors for Pb2+ in aqueous solution. Chem. Commun., 2011,   47, 6668â€�6670.

413) Xurong Qin, Xuefeng Cong, Dongbing Zhao, Jingsong You, Jingbo   Lan,* One-pot synthesis of benzofused heteroaryl azoles via tandem C-heteroatom   coupling/C–H activation of azoles. Chem. Commun., 2011, 47,   5611â€�5613.

44) Liang Cheng, Jiaxing Dong, Jingsong You, Ge Gao,* Jingbo Lan,*   A highly syn-selective nitroaldol reaction catalyzed by CuII-bisimidazoline.   Chem. Eur. J., 2010, 16, 6761â€�6765.

45) Li Yang, Song Qin, Xiaoyu Su, Fei Yang, Jingsong You,* Changwei Hu,   Rugang Xie, Jingbo Lan,* 1,1â€�-Binaphthyl-based imidazolium   chemosensors for highly selective recognition of tryptophan in aqueous   solutions. Org. Biomol. Chem., 2010, 339â€�348.

46) Weida Wang, Afu Fu, Jingsong You, Ge Gao, Jingbo Lan,* Lijuan   Chen,* Squaraine-based colorimetric and   fluorescent sensors for Cu2+-specific detection and fluorescence   imaging in living cells. Tetrahedron, 2010, 66, 3695â€�3701.

 

�CLOSE�

Contact US